今日成果推介:
Xizhen Lu, Chunhua Zhu, Guoliang Lü, Sufen Guo, Zhuowen Li, Gang Zhao. Impact of neutrino magnetic moments on the evolution of the helium flash and lithium-rich red clump stars. Phys. Rev. D, 2025, 111: 103004
文章链接:
https://doi.org/10.1103/PhysRevD.111.103004
研究领域:
天体物理学, 恒星演化, 星族合成
研究背景/选题意义/研究价值:
氦闪是低质量恒星演化的关键过程,直接影响恒星光度和演化轨迹。近年来发现的富锂红巨星在氦闪后表现出异常锂丰度,现有模型难以解释。中微子磁矩(Neutrino Magnetic Moment)作为超越标准模型的新物理概念,通过引入额外能量损失可能加速氦核收缩并提前触发氦闪,同时增强内部重力波混合效果,加剧了恒星表面锂丰度的增丰,为解释这一现象提供了新思路。
主要研究内容
本研究系统模拟了不同中微子磁矩值的低质量恒星演化过程,重点分析了中微子磁矩对氦闪能量释放、核心结构演化以及表面锂丰度的影响。
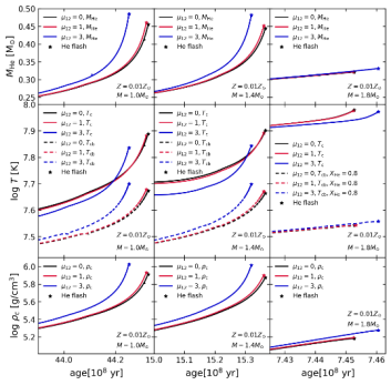
研究发现,随着中微子磁矩增大,恒星氦核中微子能量损失增强,使核心温度降低、密度升高,从而增加氦核的简并程度和临界质量(如图1所示)。在中微子磁矩取值为3x10-12uB的太阳模型中,氦核质量较标准模型增加约5%。此外,中微子磁矩的能量损失会加速氦核收缩,释放额外重力能,加热氢燃烧壳层,使其温度升高、核反应加快,反而使氦闪提前发生,这与以往认为中微子磁矩延迟氦闪的结论相反,修正了传统理论认识。


图1. 不同中微子磁矩值下氦核质量、核心温度、核心密度随时间的演化图。左侧子图为银河系金属丰度模型,右侧为低金属丰度模型。


图2. 不同中微子磁矩值下氦闪时恒星结构随时间的演化图。从上到下的子图模型的中微子磁矩取值依次增大。左侧子图为银河系金属丰度模型,右侧为低金属丰度模型。
氦闪过程包括主闪和若干次闪。研究显示,随着中微子磁矩增大,主闪峰值更高且更偏离核心,次闪次数与强度明显增加、间隔时间缩短(如图2所示)。由于中微子磁矩增强了核心的中微子能量损失,导致点燃区域更偏离核心,需多次次闪才能完全解除简并。氦闪期间的中微子辐射区(橙色阴影)随中微子磁矩显著扩大,表现出更强的能量损失特征。
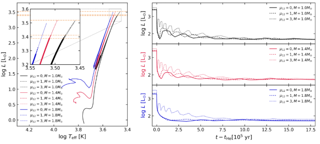
图3展示了不同质量与中微子磁矩模型的表面温度-光度图与半径演化。结果表明,红巨星分支顶端(TRGB)光度随中微子磁矩增大显著上升。对于中微子磁矩取值为3x10-12uB的太阳模型,TRGB光度提升约35%(由约2450倍太阳光度增至3320倍太阳光度)。这表明中微子磁矩通过增大氦核质量和壳层温度,提高了氢燃烧速率和表面光度,对TRGB作为“标准烛光”的校准具有潜在影响。

图3. 不同中微子磁矩值下红巨星分支顶端亮度随时间变化及HR轨迹。
氦闪激发的内部引力波可在辐射区诱导混合,使氢壳层产生的⁷Be被输送至表面对流层并衰变为⁷Li。无内部重力波(IGW)混合模型无法再生锂,而引入IGW混合后,氦闪产生的强对流可使混合系数提升约2–3个数量级,实现显著锂增丰(如图4所示)。当进一步引入中微子磁矩时,磁矩导致的核心更强能量释放缩窄了低扩散瓶颈区,使锂更快穿过辐射层进入表面对流层,从而增强了表面富锂效应。

图4. 不同中微子磁矩模型下恒星内部混合系数随时间演化图,以及氦闪后50年的内部结构图。
图5展示了不同参数模型下表面锂丰度(A(Li))随时间的演化。标准模型(无IGW)中锂在红巨星阶段持续耗尽,而含IGW混合的模型在氦闪后A(Li)从–1.9升至2.4 dex,可解释普通富锂红团簇星。进一步考虑中微子磁矩(3x10-12uB)后,A(Li)可升至3.2 dex,成功再现超富锂红团簇星。模型预测富锂阶段持续约2–15 Myr,富锂红团簇星占红团簇星样本数的数个百分点,也与观测统计一致。

图5. 不同中微子磁矩模型下恒星表面锂丰度A(Li)随时间变化。
研究结论:
研究表明,中微子磁矩不仅显著影响氦闪的热演化过程,使氦芯质量增加、TRGB光度提升,还通过增强IGW混合有效促进了表面锂的快速增丰。中微子磁矩与IGW的协同作用可自然解释超富锂红团簇星的形成。未来通过星震学与光谱观测,可利用红团簇星表面元素丰度异常、氦核进一步约束中微子磁矩,为探索标准模型之外的新物理提供天体学路径。
主要创新点:
1.首次在恒星演化模型中同时引入中微子磁矩效应与氦闪诱导的内部引力波混合机制;
2.发现中微子磁矩使氦闪提前而非延迟,修正了传统恒星演化理论;
3.揭示中微子磁矩通过缩窄低扩散瓶颈区增强IGW混合,从而实现超富锂红团簇星的理论再现;
4.提出可通过红团簇星表面元素丰度异常反向约束中微子磁矩,为探索新物理提供天体观测途径。
作者简介:
芦锡震,博士,主要从事恒星演化和星族合成研究。
通讯作者:吕国梁,教授,博士生导师,享受国务院政府特殊津贴专家,新疆天文学会理事长。主要研究方向为恒星演化和星族合成。先后主持国家自然科学基金联合重点项目、面上项目、新疆自然科学基金项目等省部级以上科研项目10余项,发表SCI收录学术论文70余篇。2015年获新疆维吾尔自治区科技进步一等奖。
稿件来源:物理科学与技术学院
编辑:芦锡震 吕国梁
责编:李蕊
审核:吕国梁